3.2 Time dilation

3.2.2 Derivation

Let us consider some examples of the magnitude of the time dilation when traveling between planets A and B at various speeds according to their frame of reference:

Measured velocity 

Outer travel time

f

Inner travel time

% of outer time

γigs

0.25c

40 min

1.291

38.73 min

96.8 %

1.032

0.5c

20 min

1.732

17.32 min

86.7 %

1.155

0.667c

15 min

2.236

11.18 min

74.5 %

1.342

0.833c

12 min

3.317

6.634 min

55.3 %

1.809

0.99c

10.10 min

14.107

1.425 min

14.1 %

7.088

0.999c

10.01 min

44.7325

0.447 min

4.47 %

22.39

 

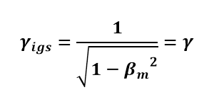
We can derive the time dilation factor γigs by imagining an object traveling through another frame of reference at a certain speed. The ratio of the resulting times should be calculated to determine γigs. The expansion factor will be used in this calculation.

3.2.2 Derivation

We can then insert the previously defined equations for βoa and f as functions of βm. After simplification, this equation becomes equivalent to the Lorentz factor:

3.2.2 Derivation

The formula for the difference in experienced time is consistent between the MRM and SR.